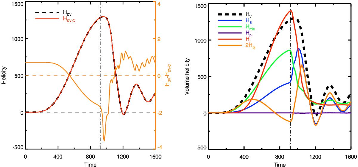
Fig. 7

Left panel: evolution of the magnetic helicity computed with the practical DeVore method (dashed line) and with the DeVore-Coulomb method (red line). Their difference is plotted with an orange line (cf. right axis). Right panel: volume magnetic helicity (, black dashed line) and its decomposition in the DeVore-Coulomb case. The plotted curves are similar to the bottom panel of Fig. 2.
Current usage metrics show cumulative count of Article Views (full-text article views including HTML views, PDF and ePub downloads, according to the available data) and Abstracts Views on Vision4Press platform.
Data correspond to usage on the plateform after 2015. The current usage metrics is available 48-96 hours after online publication and is updated daily on week days.
Initial download of the metrics may take a while.