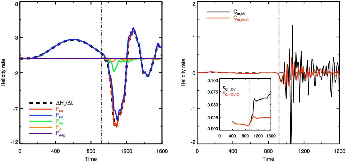
Fig. 8

Left panel: comparison of the helicity variation rate and the helicity flux integrated through the six boundaries of the domain in the DeVore-Coulomb case. The plotted curves are similar as in Fig. 3. Right panel: magnetic helicity dissipation criterion Cm, Eq. (42), plotted for the practical DeVore (black line) and the DeVore-Coulomb (red line) methods. The inset shows ϵCm, Eq. (44), with the same color convention.
Current usage metrics show cumulative count of Article Views (full-text article views including HTML views, PDF and ePub downloads, according to the available data) and Abstracts Views on Vision4Press platform.
Data correspond to usage on the plateform after 2015. The current usage metrics is available 48-96 hours after online publication and is updated daily on week days.
Initial download of the metrics may take a while.