Free Access
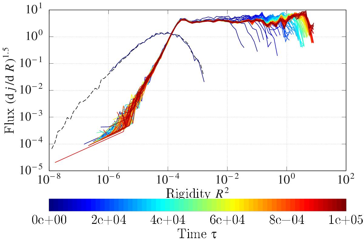
Fig. 4

Parallel magnetostatic shock with a Maxwellian injection profile as indicated by the black dotted line. This figure shows how the initial power spectrum is modified by the interaction with the shock front. Particles get accelerated and, over time, form a smooth constant power law, close to parallel to the abscissa.
Current usage metrics show cumulative count of Article Views (full-text article views including HTML views, PDF and ePub downloads, according to the available data) and Abstracts Views on Vision4Press platform.
Data correspond to usage on the plateform after 2015. The current usage metrics is available 48-96 hours after online publication and is updated daily on week days.
Initial download of the metrics may take a while.