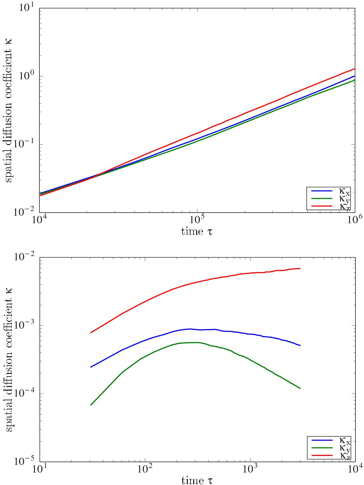
Fig. 8

Flow-corrected spatial diffusion coefficients κ according to Eq. (19)for the z-direction parallel to the magnetic background field B0, and the perpendicular components x and y. For a parallel shock as shown in the upper panel, the diffusion in z-direction, parallel to the shock normal, is the highest. The perpendicular diffusion coefficients in x and y direction are approximately equivalent, as expected. Throughout the shock simulation, the values of all diffusion coefficients continue to rise. A perpendicular shock configuration on the other hand produces significantly different results, as shown in the lower panel. Here, all three components differ significantly from another, with the perpendicular y-component, parallel to the shock normal, having the lowest diffusion coefficient. The parallel z-component, here perpendicular to the shock normal, is again the highest. The x-component lies in between these two. Furthermore, the diffusion coefficients κx and κy show a peak at around τ ≈ 250. The parallel diffusion coefficient on the other hand continues to rise after this time, but significantly slower than before.
Current usage metrics show cumulative count of Article Views (full-text article views including HTML views, PDF and ePub downloads, according to the available data) and Abstracts Views on Vision4Press platform.
Data correspond to usage on the plateform after 2015. The current usage metrics is available 48-96 hours after online publication and is updated daily on week days.
Initial download of the metrics may take a while.