Free Access
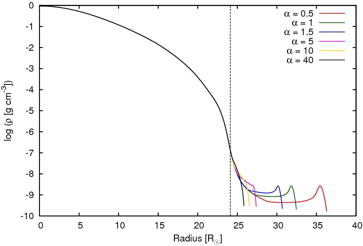
Fig. B.1

Density profile of a 300 M⊙ model with different values of the mixing length parameter α (see Sect. 2). The black dotted line marks the location of rcore, i.e. the base of the inflated envelope where β = 0.15.
Current usage metrics show cumulative count of Article Views (full-text article views including HTML views, PDF and ePub downloads, according to the available data) and Abstracts Views on Vision4Press platform.
Data correspond to usage on the plateform after 2015. The current usage metrics is available 48-96 hours after online publication and is updated daily on week days.
Initial download of the metrics may take a while.