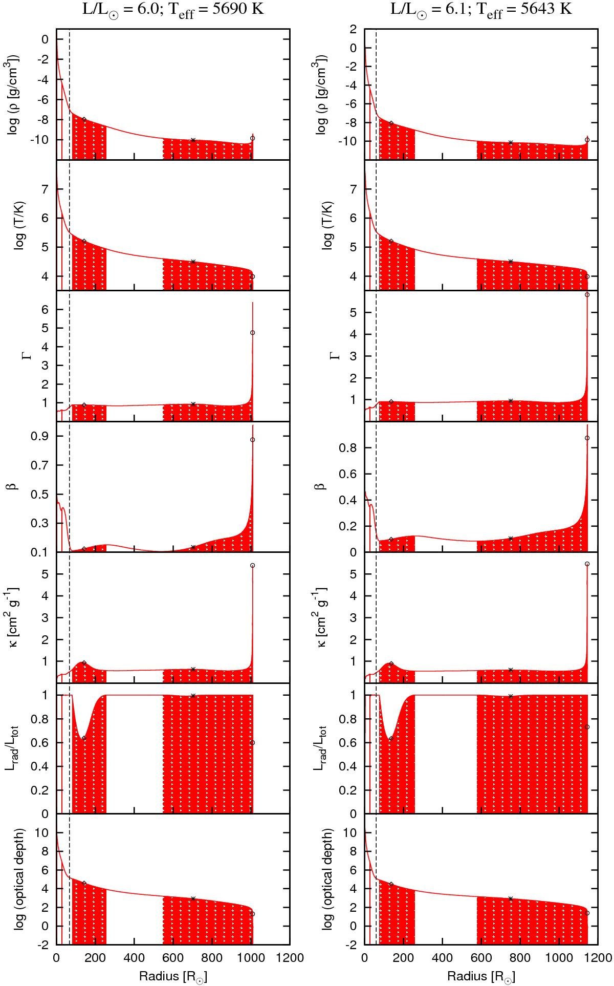
Fig. D.3

Detailed structure examples for stellar models with an effective temperature near 5000 K, for two different luminosities (cf. Fig. 2). The dashed line marks the point at which β falls below 0.15, i.e. the beginning of the inflated envelope. The square, cross and the circle mark the temperatures TFe, THe, and TH at which κ is maximum because of the iron, helium, and hydrogen opacity bumps respectively. The hatched regions show the convective zones.
Current usage metrics show cumulative count of Article Views (full-text article views including HTML views, PDF and ePub downloads, according to the available data) and Abstracts Views on Vision4Press platform.
Data correspond to usage on the plateform after 2015. The current usage metrics is available 48-96 hours after online publication and is updated daily on week days.
Initial download of the metrics may take a while.