Free Access
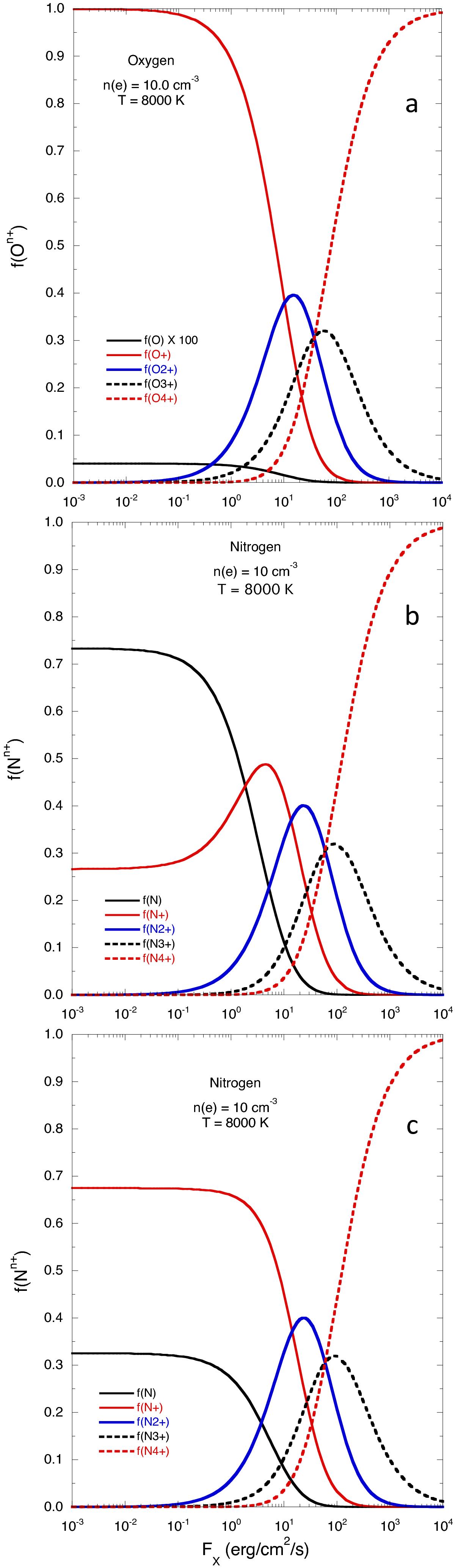
Fig. 5

Fraction of oxygen ionization states a) and nitrogen ionization states (b) and c)) versus X-ray luminosity flux, FX, for a dense WIM with n(e) = 10 cm-3 and Tk = 8000 K. Panel b) assumes the charge transfer rates of Lin et al. (2005) and panel c) those of Kingdon & Ferland (1996) – see text.
Current usage metrics show cumulative count of Article Views (full-text article views including HTML views, PDF and ePub downloads, according to the available data) and Abstracts Views on Vision4Press platform.
Data correspond to usage on the plateform after 2015. The current usage metrics is available 48-96 hours after online publication and is updated daily on week days.
Initial download of the metrics may take a while.