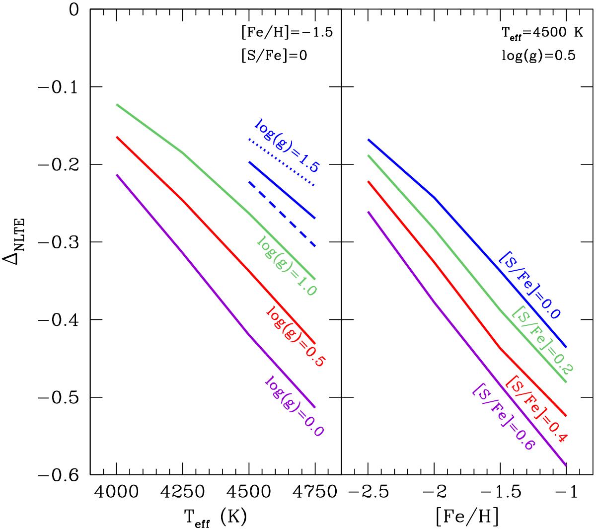
Fig. 4

Left panel: solid lines show NLTE corrections for the S I line at 9228 Å as a function of Teff for different log g, assuming [ Fe / H ] = −1.5 and [ S / Fe ] = 0. For log g = 1.5 the corrections for 9212 Å are shown with a dashed line and with a dotted line for 9238 Å. Right panel: NLTE corrections for the sulphur line at 9228 Å as a function of [Fe/H] for different [S/Fe], assuming Teff = 4500 K and log g = 0.5.
Current usage metrics show cumulative count of Article Views (full-text article views including HTML views, PDF and ePub downloads, according to the available data) and Abstracts Views on Vision4Press platform.
Data correspond to usage on the plateform after 2015. The current usage metrics is available 48-96 hours after online publication and is updated daily on week days.
Initial download of the metrics may take a while.