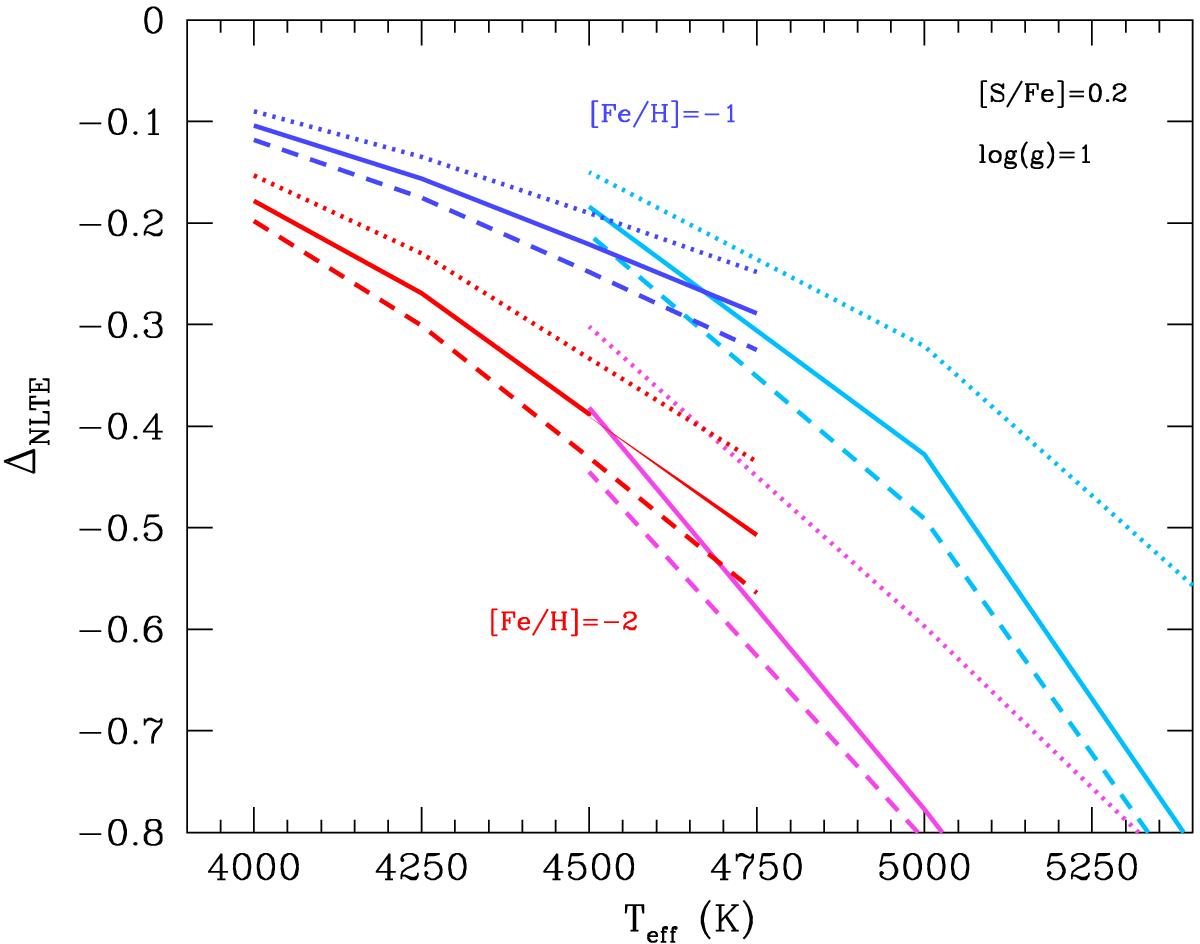
Fig. 5

Comparison of the h = 0, NLTE calculations of Takeda et al. (2005) and this work. The results from Takeda et al. (2005) for Teff ≥ 4500 K are shown in pink and light blue, while the results from this work are shown in red and blue for Teff ≤ 4750 K. The result is shown both for the smaller correction of [ Fe / H ] = −1 (blue and light blue) and the larger effect of [ Fe / H ] = −2 (red and pink). The calculations for all three S lines are shown, 9213 Å (dashed lines), 9228 Å (solid lines), and 9238 Å (dotted lines). In all cases log g = 1 and [ S / Fe ] = 0.2 are assumed. We note that Takeda et al. (2005) assumed a solar value of log ϵ(S)⊙ = 7.21, while here a value of 7.16 is adopted, so there is a difference of 0.05 in [S/Fe]. In the case of Takeda et al. (2005), vt = 2 km s-1 is assumed, but vt = 1.7 km s-1 in this work. These small discrepancies do not have a significant effect on the comparison.
Current usage metrics show cumulative count of Article Views (full-text article views including HTML views, PDF and ePub downloads, according to the available data) and Abstracts Views on Vision4Press platform.
Data correspond to usage on the plateform after 2015. The current usage metrics is available 48-96 hours after online publication and is updated daily on week days.
Initial download of the metrics may take a while.