Fig. 12

Download original image
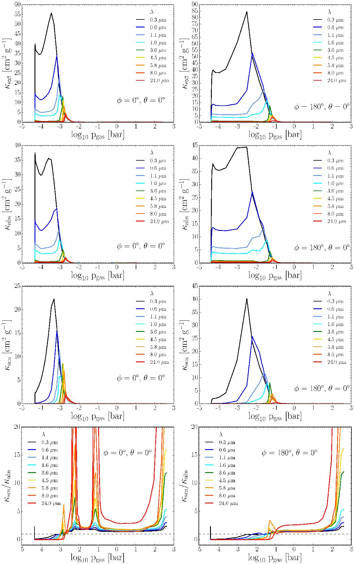
Dust opacities κ [cm2 g-1] for the cloud structure at φ = 0°, 180°, θ = 0° as a function of pressure. Top row: total extinction κext. Second row: absorption κabs. Third row: scattering κsca. Bottom row: scattering to absorption ratio κsca/κabs. Bluer wavelengths are absorbed/scattered more efficiently than redder wavelengths in the upper atmosphere. The absorption dominates the total extinction in the upper regions and scattering in the deeper atmosphere. The spikes in scattering ratio at 10-2 and 10-1 bar correspond to Fe rich grain composition.
Current usage metrics show cumulative count of Article Views (full-text article views including HTML views, PDF and ePub downloads, according to the available data) and Abstracts Views on Vision4Press platform.
Data correspond to usage on the plateform after 2015. The current usage metrics is available 48-96 hours after online publication and is updated daily on week days.
Initial download of the metrics may take a while.