Fig. 13

Download original image
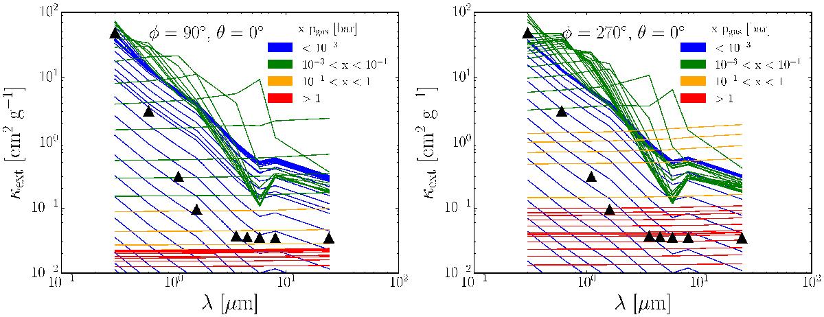
Dust extinction κext [cm2 g-1] pressure isobars at φ = 90° (left), 270° (right), θ = 0° (equatorial dayside-nightside terminator regions). Triangles denote the values from Dobbs-Dixon & Agol (2013) assumed additional Rayleigh slope opacity κext ∝ λ-4. Isobars follow an absorption profile κext ∝ λ-2 at the upper atmosphere ≲10-1 bar. Isobars flatten deeper than ≳10-1 bar.
Current usage metrics show cumulative count of Article Views (full-text article views including HTML views, PDF and ePub downloads, according to the available data) and Abstracts Views on Vision4Press platform.
Data correspond to usage on the plateform after 2015. The current usage metrics is available 48-96 hours after online publication and is updated daily on week days.
Initial download of the metrics may take a while.