Fig. 8

Download original image
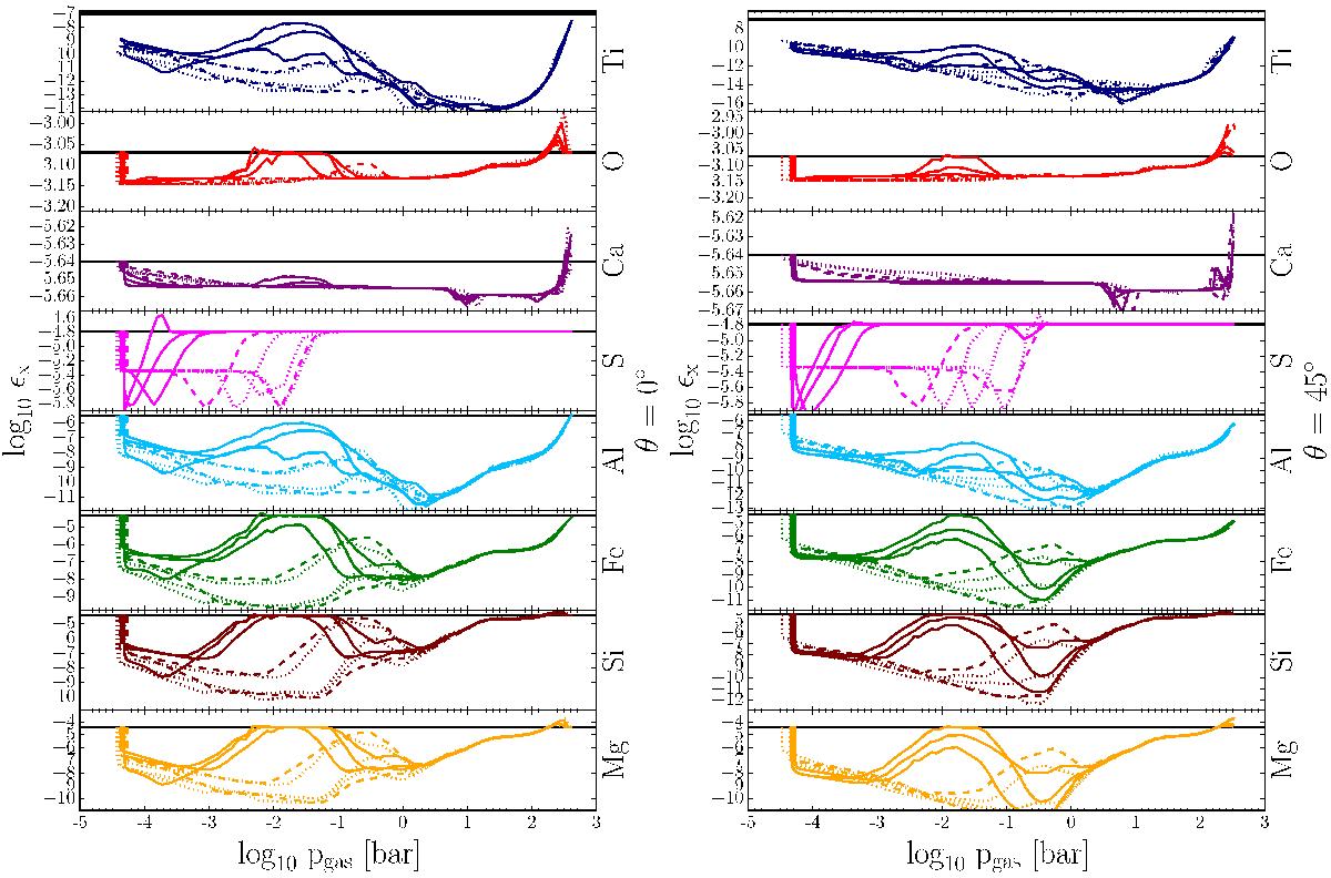
Gas phase element abundances ϵx as a function of pressure at θ = 0° (Left) and θ = 45° (Right) in Δφ = + 45° longitude intervals. We consider 8 elements: Mg (orange), Si (maroon), Ti (blue), O (red), Fe (green), Al (cyan), Ca (purple), S (magenta) that constitute the growth species. Horizontal black lines indicate solar abundance . A decrease in element abundance indicates condensation of growth species onto cloud particle surface. An increase indicates evaporation of molecules constituted of that element from the cloud particle surface. Dayside profiles (solid) are φ = 0°, 45°, 315°, θ = 0°, 45°. Day-night terminator profiles (dashed) are φ = 90°, 270°, θ = 0°, 45°. Nightside profiles (dotted) are φ = 135°, 180°, 225°, θ = 0°, 45°.
Current usage metrics show cumulative count of Article Views (full-text article views including HTML views, PDF and ePub downloads, according to the available data) and Abstracts Views on Vision4Press platform.
Data correspond to usage on the plateform after 2015. The current usage metrics is available 48-96 hours after online publication and is updated daily on week days.
Initial download of the metrics may take a while.