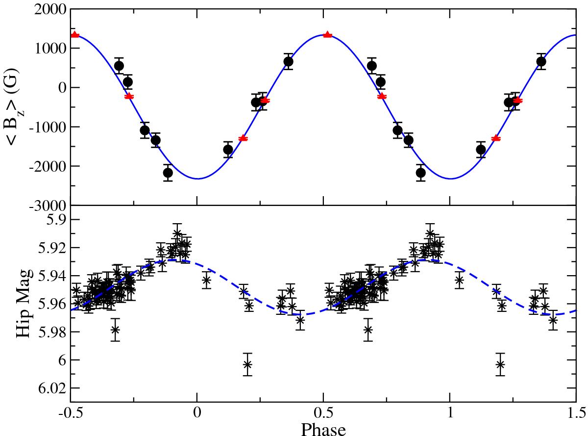
Fig. 1

⟨ Bz ⟩ and Hipparcos photometry variations of HD 133652. Top: ⟨ Bz ⟩ LSD measurements (red triangles) and the Balmer line measurements from Bohlender et al. (1993, filled circles with error bars). The solid blue line is the best-fit magnetic field variations (see Sect. 4.1). Bottom: the Hipparcos photometry variations with rotational phase. The dotted blue line is the best-fit sinusoid to the observations.
Current usage metrics show cumulative count of Article Views (full-text article views including HTML views, PDF and ePub downloads, according to the available data) and Abstracts Views on Vision4Press platform.
Data correspond to usage on the plateform after 2015. The current usage metrics is available 48-96 hours after online publication and is updated daily on week days.
Initial download of the metrics may take a while.