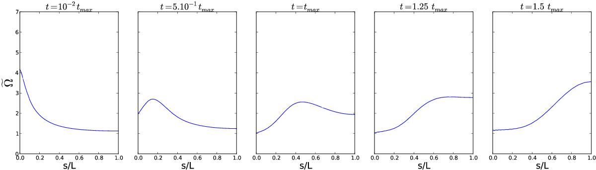
Fig. 8

as a function of s/L for different times. s is the curvilinear coordinate of the poloidal field line on which max(Bϕ/Bp) is reached, and L the length of this field line. s = 0 locates the inner radius and s = L the equator. The parameters of the simulation are Lu = 245, ρc/ρ0 = 7 × 103, the differential rotation profile given by Eq. (12) and a stress-free boundary condition.
Current usage metrics show cumulative count of Article Views (full-text article views including HTML views, PDF and ePub downloads, according to the available data) and Abstracts Views on Vision4Press platform.
Data correspond to usage on the plateform after 2015. The current usage metrics is available 48-96 hours after online publication and is updated daily on week days.
Initial download of the metrics may take a while.