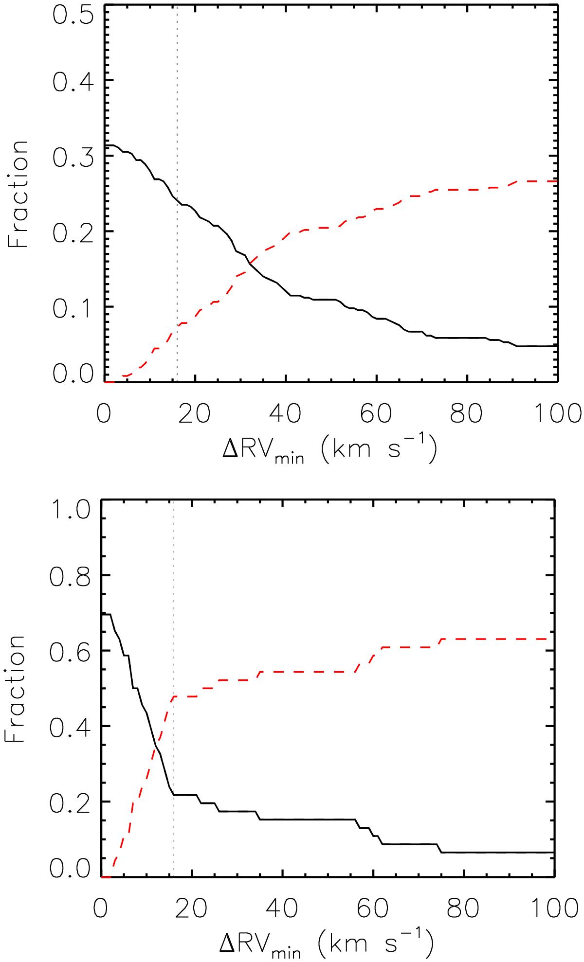
Fig. 2

Upper panel: inferred binary fraction as a function of the adopted threshold velocity (ΔRVmin) for the unevolved (dwarf/giant) B-type stars in our sample (solid line). The dashed line shows the corresponding fraction that would have been classified as binary candidates but failed the ΔRVmin criterion. Lower panel: as for the upper panel, but for the supergiants. In both plots the vertical dotted line indicates the adopted threshold of 16 km s-1.
Current usage metrics show cumulative count of Article Views (full-text article views including HTML views, PDF and ePub downloads, according to the available data) and Abstracts Views on Vision4Press platform.
Data correspond to usage on the plateform after 2015. The current usage metrics is available 48-96 hours after online publication and is updated daily on week days.
Initial download of the metrics may take a while.