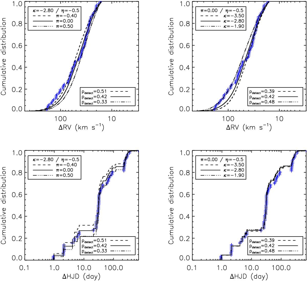
Fig. 6

Comparison of the observed (crosses) and simulated (lines) cumulative distributions of the peak-to-peak RV amplitudes (upper panels) and of the variability timescales (lower panels). The exponent π (period distribution) is varied in the left-hand panels, while κ (the exponent of the mass-ratio distribution), is varied in the right-hand panels. Values of π, κ and η are indicated in the upper-left insets of each panel. The lower-right insets indicate the VFTS detection probability for the range of parameters specified in Table 5 and for the adopted parent distributions.
Current usage metrics show cumulative count of Article Views (full-text article views including HTML views, PDF and ePub downloads, according to the available data) and Abstracts Views on Vision4Press platform.
Data correspond to usage on the plateform after 2015. The current usage metrics is available 48-96 hours after online publication and is updated daily on week days.
Initial download of the metrics may take a while.