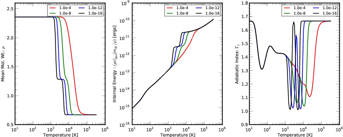
Fig. 1

Variation of mean molecular weight μ, internal energy density of the gas (ρe)gas and first adiabatic index Γ1 with temperature. The different colored curves represent four values of fixed density in g cm-3, viz., 10-4 (red), 10-8 (green), 10-12 (blue) and 10-16 (black). The values of (ρe)gas and Γ1 are obtained at equilibrium between ortho and para hydrogen.
Current usage metrics show cumulative count of Article Views (full-text article views including HTML views, PDF and ePub downloads, according to the available data) and Abstracts Views on Vision4Press platform.
Data correspond to usage on the plateform after 2015. The current usage metrics is available 48-96 hours after online publication and is updated daily on week days.
Initial download of the metrics may take a while.