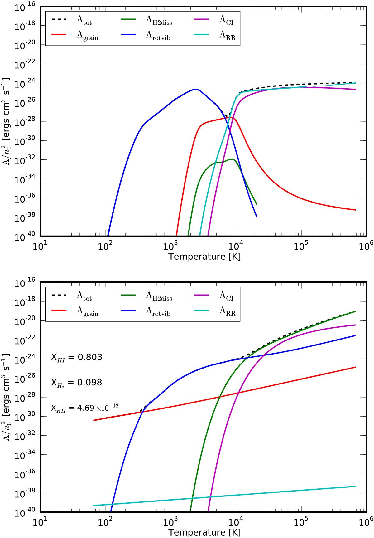
Fig. 3

Top panel: variation with temperature of cooling function arising from different processes obtained using equilibrium values of hydrogen fractions (that vary with temperature as shown in Fig. 2) in units of erg cm3 s-1 for a total number density n0 = 105 cm-3. Bottom panel: different components of radiative cooling functions with same initial number density, n0 but for fixed values of concentration fractions (mentioned in the figure). In both panels, the sum of all the components is drawn with a black dashed line to obtain the value of Λ in erg cm3 s-1 following Eq. (32).
Current usage metrics show cumulative count of Article Views (full-text article views including HTML views, PDF and ePub downloads, according to the available data) and Abstracts Views on Vision4Press platform.
Data correspond to usage on the plateform after 2015. The current usage metrics is available 48-96 hours after online publication and is updated daily on week days.
Initial download of the metrics may take a while.