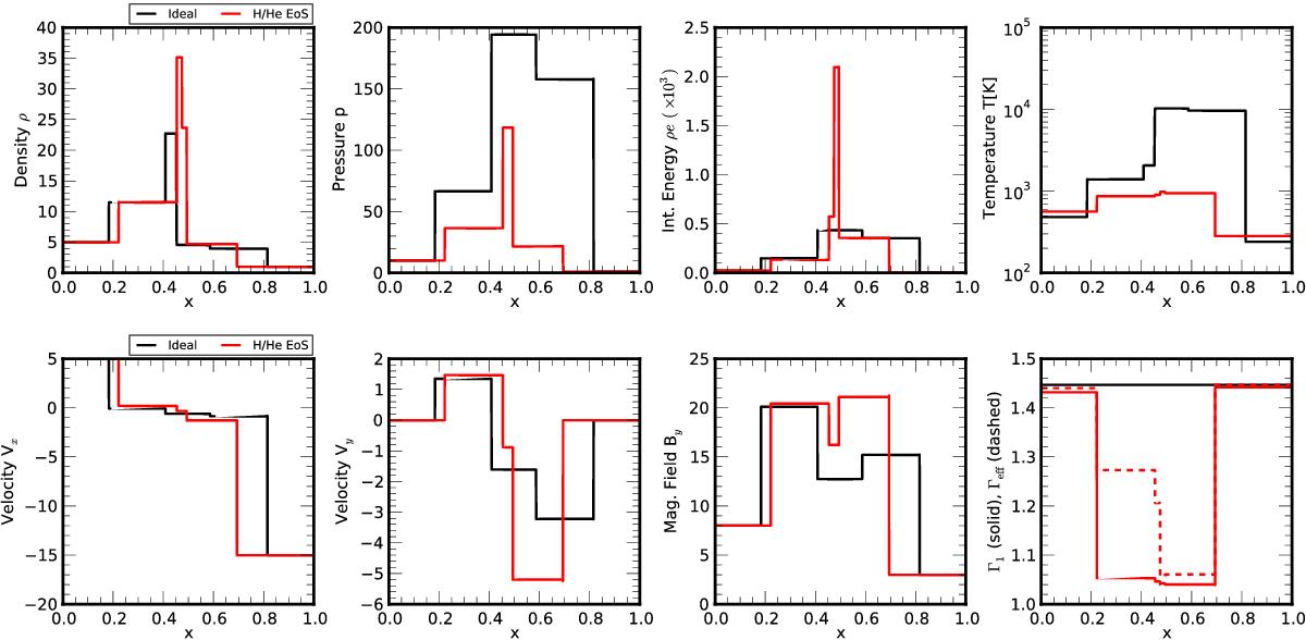
Fig. 6

From top left to bottom right: solution at time t = 0.08 of density, pressure, internal energy density (ρe), temperature, X and Y components of velocity, Y component of magnetic field and adiabatic index respectively. In each panel, quantities obtained for ideal EoS are shown in (black) while the red line denotes values obtained using H/He EoS.
Current usage metrics show cumulative count of Article Views (full-text article views including HTML views, PDF and ePub downloads, according to the available data) and Abstracts Views on Vision4Press platform.
Data correspond to usage on the plateform after 2015. The current usage metrics is available 48-96 hours after online publication and is updated daily on week days.
Initial download of the metrics may take a while.