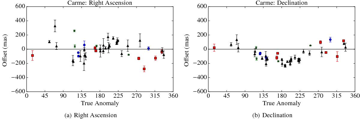
Fig. 1

Mean ephemeris offsets and dispersions (1 sigma error bars) in the coordinates of Carme taken night by night by true anomaly for each telescope. The red square is for the observations with the Perkin-Elmer telescope from OPD, the blue circle for Boller & Chivens, the magenta triangle down for Zeiss, the black triangle up for OHP and the green star for ESO.
Current usage metrics show cumulative count of Article Views (full-text article views including HTML views, PDF and ePub downloads, according to the available data) and Abstracts Views on Vision4Press platform.
Data correspond to usage on the plateform after 2015. The current usage metrics is available 48-96 hours after online publication and is updated daily on week days.
Initial download of the metrics may take a while.