Free Access

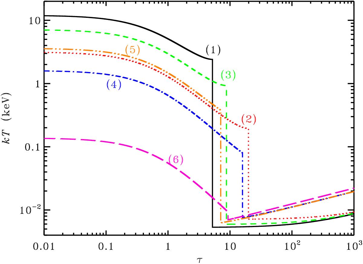
Fig. 3

image

Temperature profiles in the disk/corona system for the various values of the parameters χ, τcor of the six fiducial models listed in Table 1. Each curve is labelled with its model reference number, corresponding to that given in Table 1.

Current usage metrics show cumulative count of Article Views (full-text article views including HTML views, PDF and ePub downloads, according to the available data) and Abstracts Views on Vision4Press platform.

Data correspond to usage on the plateform after 2015. The current usage metrics is available 48-96 hours after online publication and is updated daily on week days.

Initial download of the metrics may take a while.