Free Access
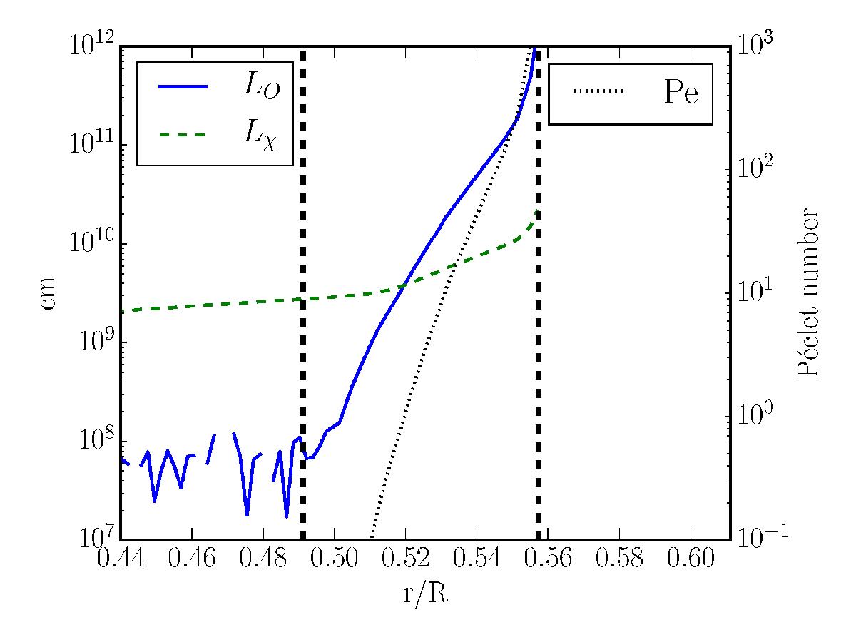
Fig. 2

Radial profiles of the length scales LO, Lχ, and the Péclet number in the boundary layer of the red giant model of Viallet et al. (2013). The thick dashed lines denote the extent of the boundary layer, defined as the region of buoyancy braking. The x-axis is normalized by the radius of the star R = 4.1 × 1012 cm.
Current usage metrics show cumulative count of Article Views (full-text article views including HTML views, PDF and ePub downloads, according to the available data) and Abstracts Views on Vision4Press platform.
Data correspond to usage on the plateform after 2015. The current usage metrics is available 48-96 hours after online publication and is updated daily on week days.
Initial download of the metrics may take a while.