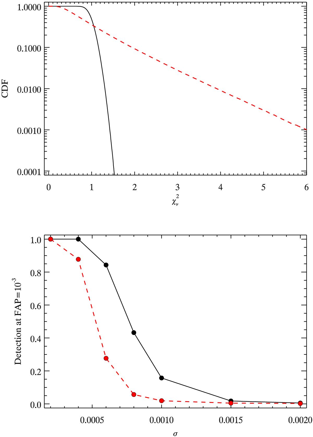
Fig. 4

Upper panel: cumulative distribution of values for a set of independent, normally distributed random variables (solid line) and for
corresponding to
given by Eq. (24) (dashed line). Lower panel: fraction of detections of magnetic field signatures in the Stokes V (solid line) and CSV profiles (dashed line) as a function of random noise added to the model Stokes profiles.
Current usage metrics show cumulative count of Article Views (full-text article views including HTML views, PDF and ePub downloads, according to the available data) and Abstracts Views on Vision4Press platform.
Data correspond to usage on the plateform after 2015. The current usage metrics is available 48-96 hours after online publication and is updated daily on week days.
Initial download of the metrics may take a while.