Free Access
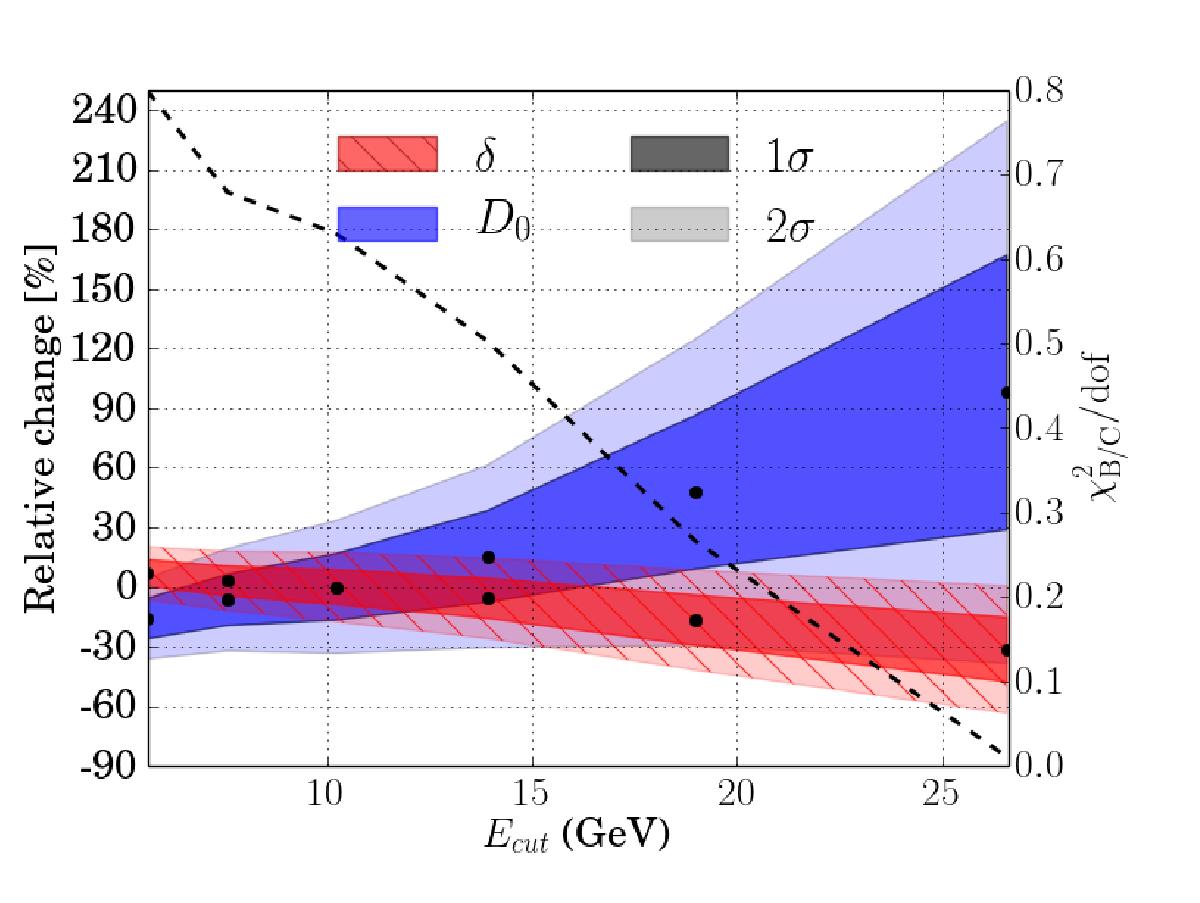
Fig. 4

Relative variations of the best-fit propagation parameters, as compared to the benchmark model of Table 1, with respect to the low-energy cut-off Ecut above which we carry out the B/C analysis.
Current usage metrics show cumulative count of Article Views (full-text article views including HTML views, PDF and ePub downloads, according to the available data) and Abstracts Views on Vision4Press platform.
Data correspond to usage on the plateform after 2015. The current usage metrics is available 48-96 hours after online publication and is updated daily on week days.
Initial download of the metrics may take a while.