Free Access
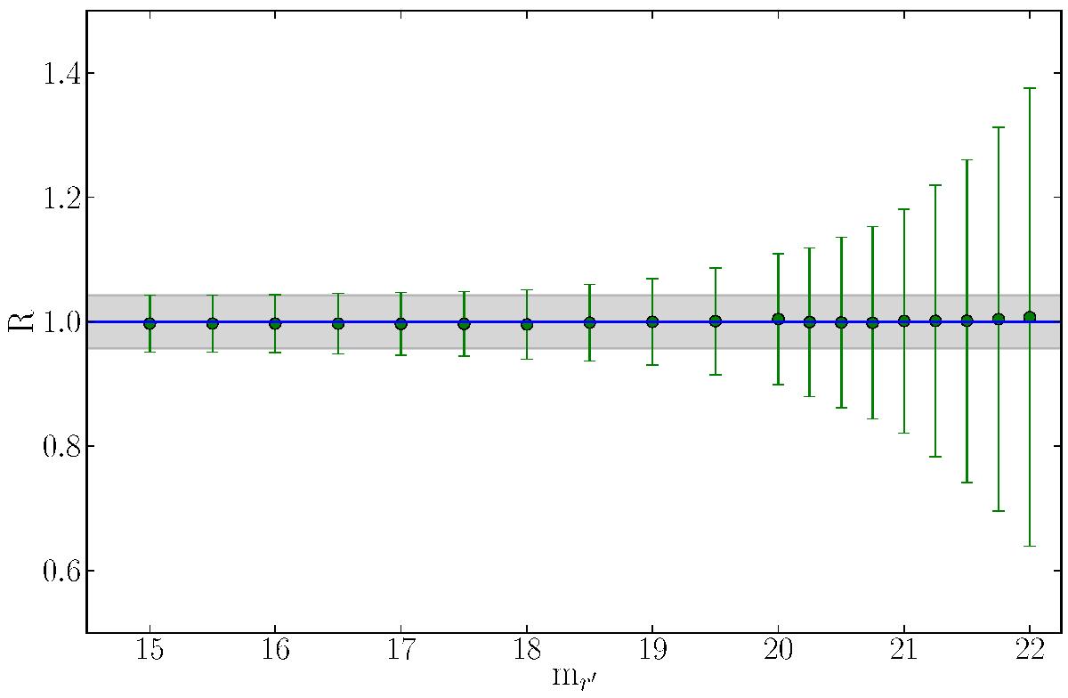
Fig. 8

Results after simulating observations of S2 spectra. Green dots indicate the medians of the Gaussian fitting to the galaxies; green bars denote the σ of this Gaussian fitting; shaded area illustrates 4.3% uncertainty defined by δsyst.
Current usage metrics show cumulative count of Article Views (full-text article views including HTML views, PDF and ePub downloads, according to the available data) and Abstracts Views on Vision4Press platform.
Data correspond to usage on the plateform after 2015. The current usage metrics is available 48-96 hours after online publication and is updated daily on week days.
Initial download of the metrics may take a while.