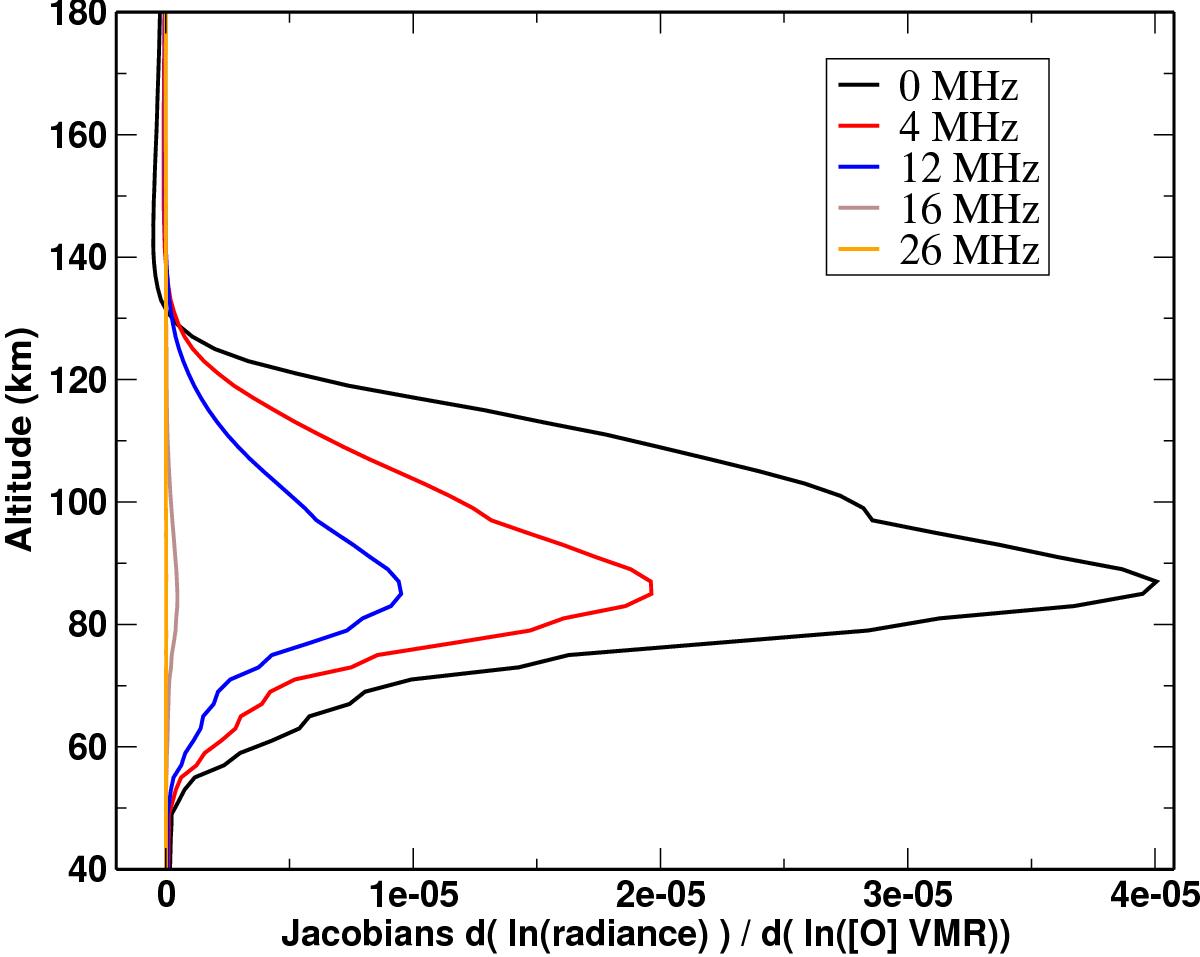
Fig. A.2

Calculated beam-averaged radiance sensitivity to changes in the O VMR (Jacobians) plotted for five frequency values shown as offsets. This calculation was performed for a column density of 8 × 1016 cm-2 , and the simulated LO smoothing with 10 MHz sigma was applied. For higher abundance (several times 1017 cm-2), the line center peak shifts up to (100–110 km), with similar relative altitude shifts at other frequencies.
Current usage metrics show cumulative count of Article Views (full-text article views including HTML views, PDF and ePub downloads, according to the available data) and Abstracts Views on Vision4Press platform.
Data correspond to usage on the plateform after 2015. The current usage metrics is available 48-96 hours after online publication and is updated daily on week days.
Initial download of the metrics may take a while.