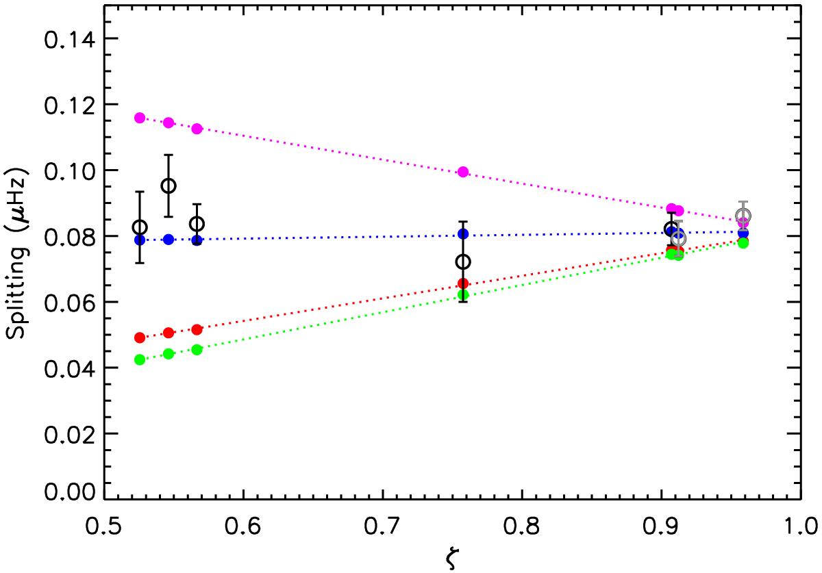
Fig. 4

Extracted rotational splittings for l = 1 modes of KIC7581399 (open black circles indicate modes that passed both frequentist and Bayesian significance tests and open gray circles modes that passed the frequentist test only). The colored circles indicate theoretical splittings for linear rotation profiles that reproduce the rotation of KIC7581399 in the g-mode cavity as obtained from the OLA method, and with ratios Ωcore/ Ωsurf of 1 (purple), 2 (blue), 10 (red), or 100 (green) from top to bottom.
Current usage metrics show cumulative count of Article Views (full-text article views including HTML views, PDF and ePub downloads, according to the available data) and Abstracts Views on Vision4Press platform.
Data correspond to usage on the plateform after 2015. The current usage metrics is available 48-96 hours after online publication and is updated daily on week days.
Initial download of the metrics may take a while.