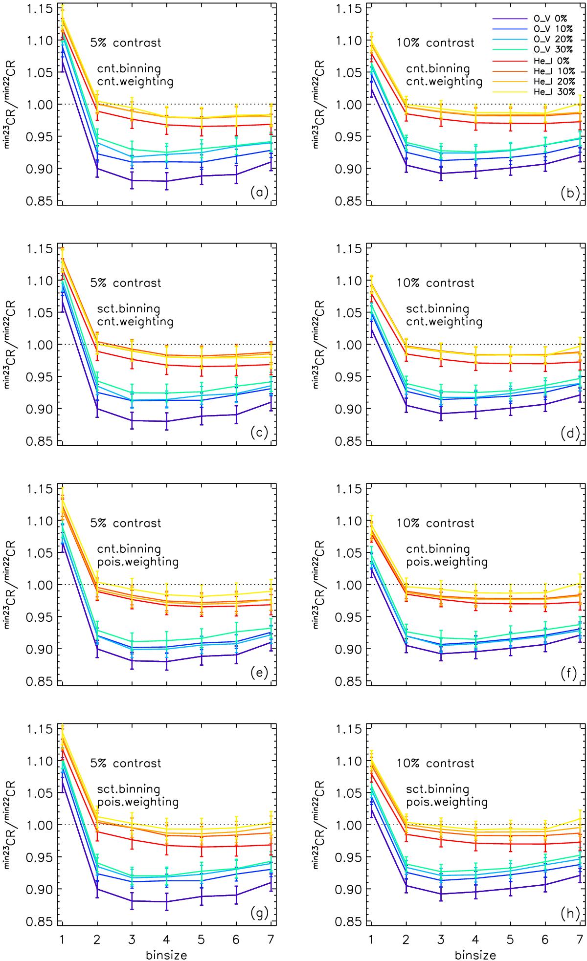
Fig. 11

Minimum-to-minimum ratio of the 5% and 10% CRs. Each panel, consists of the ratios for both spectral lines and for different amounts of data exclusion, based on the χ2 values of a lognormal fit to radiance distributions. The effect of two different methods of determining the histogram binsize and weighting them for fitting has been emphasized. The abbreviations cnt and sct and pois are for constant, Scott’s rule and Poisson, respectively. The differently coloured lines are labelled in panel b).
Current usage metrics show cumulative count of Article Views (full-text article views including HTML views, PDF and ePub downloads, according to the available data) and Abstracts Views on Vision4Press platform.
Data correspond to usage on the plateform after 2015. The current usage metrics is available 48-96 hours after online publication and is updated daily on week days.
Initial download of the metrics may take a while.