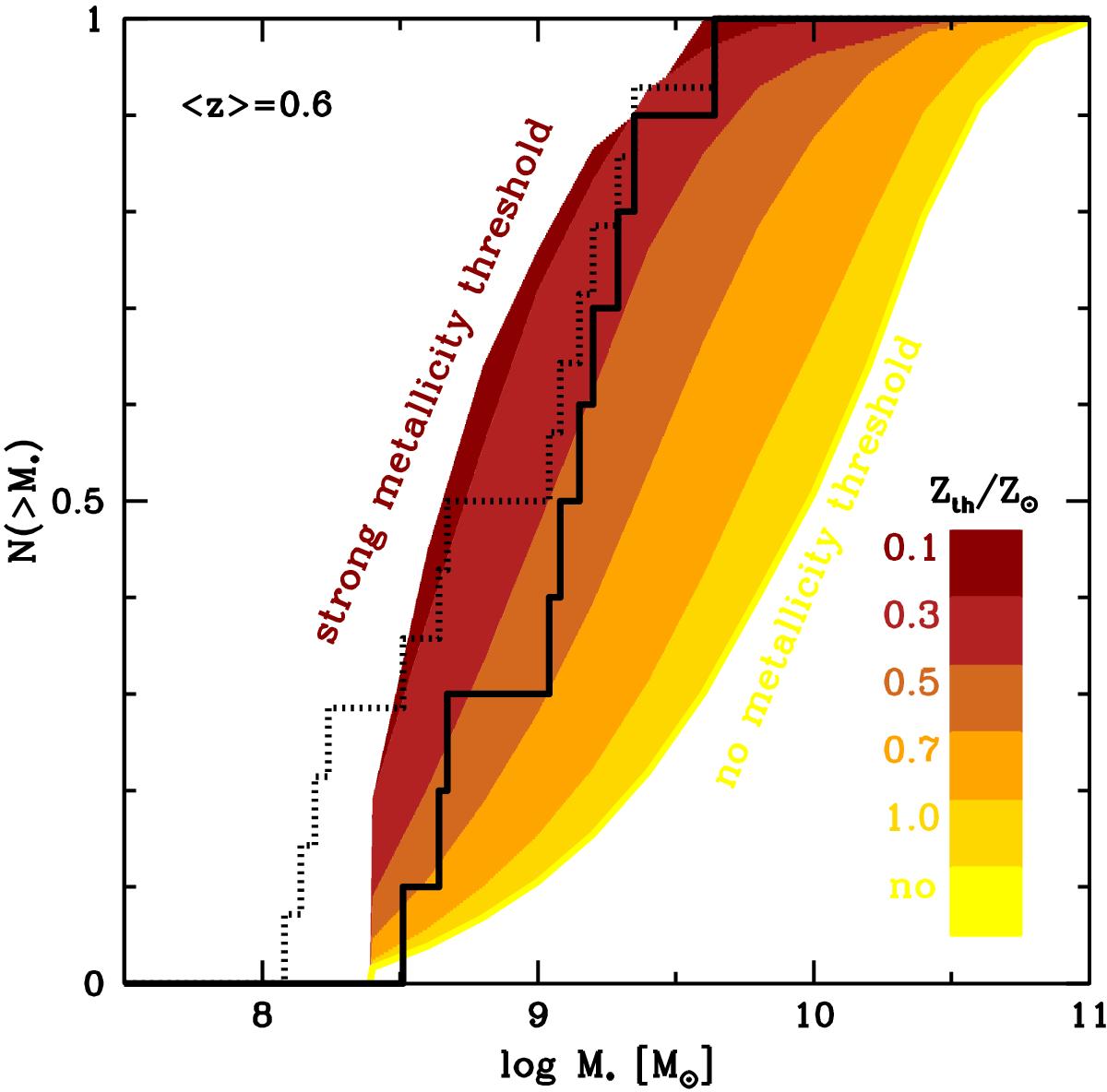
Fig. 5

Cumulative distribution of the stellar masses (including the old stellar population) of the LGRB hosts in our sample (dotted line: whole sample; solid line: with LogM⋆> 8.4 M⊙, to comply with the simulation limits) compared to what is obtained by LGRB host galaxy simulations. The observed distribution is explained by a metallicity cut favouring low metallicities (Z < 0.5 Z⊙).
Current usage metrics show cumulative count of Article Views (full-text article views including HTML views, PDF and ePub downloads, according to the available data) and Abstracts Views on Vision4Press platform.
Data correspond to usage on the plateform after 2015. The current usage metrics is available 48-96 hours after online publication and is updated daily on week days.
Initial download of the metrics may take a while.