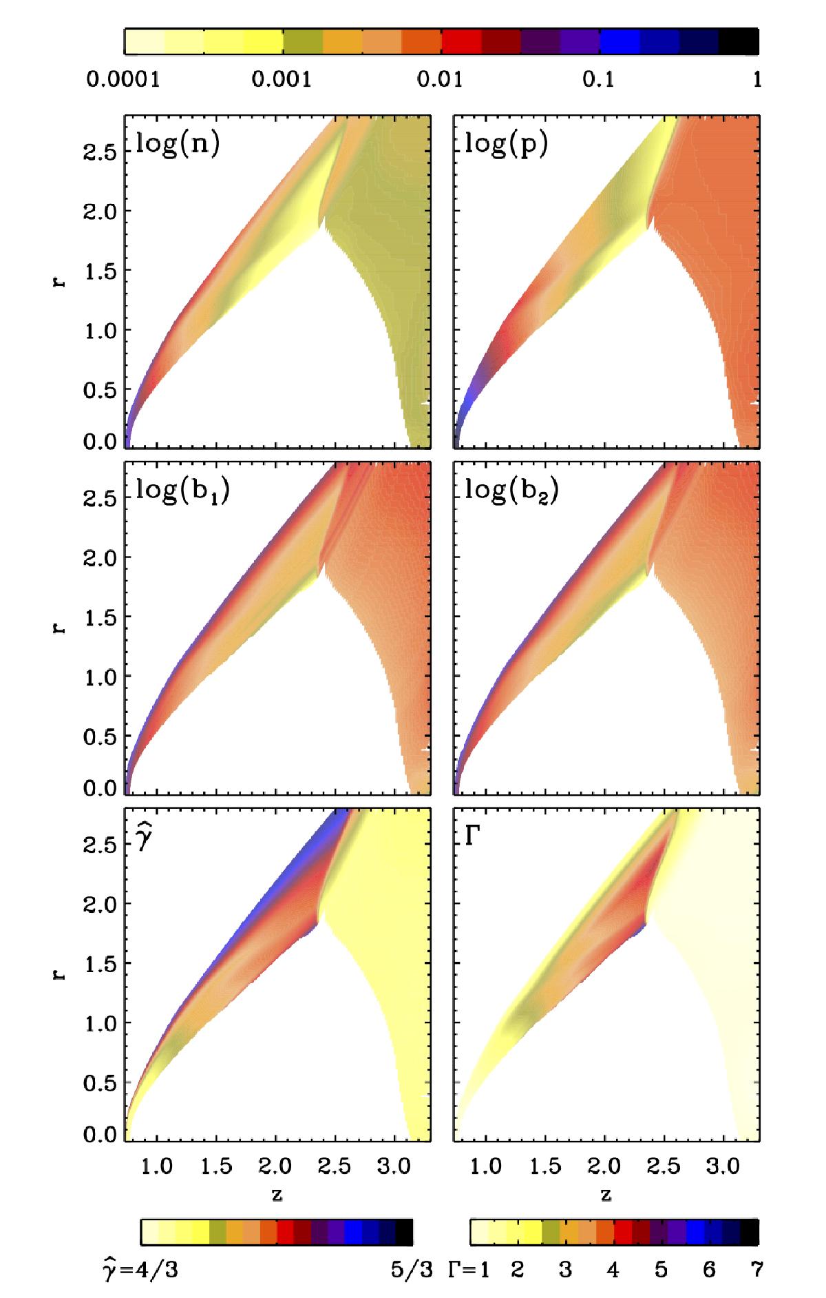
Fig. 3

Maps of various quantities in the shocked pulsar wind. The particle density n, pressure p, and magnetic field are displayed on a logarithmic scale ranging down to 10-4 of the maximum value (top colour bar). The magnetic field b1 (resp. b2) is calculated using Eq. (29) (resp. Eq. (30)) at the shock. The adiabatic index and Lorentz factor Γ are displayed on a linear scale (bottom colour bars). The map spatial scale is in units of the orbital separation d with the pulsar at (1,0) and the star at (0,0).
Current usage metrics show cumulative count of Article Views (full-text article views including HTML views, PDF and ePub downloads, according to the available data) and Abstracts Views on Vision4Press platform.
Data correspond to usage on the plateform after 2015. The current usage metrics is available 48-96 hours after online publication and is updated daily on week days.
Initial download of the metrics may take a while.