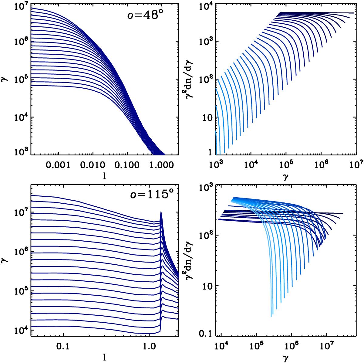
Fig. 4

Left: evolution of particle energy as a function of the distance l along the streamline (in units of the orbital separation). Right: evolution of the particle energy distribution along the streamline (lighter colours for later times i.e. increasing distance l). The top panels correspond to the streamline starting at o = 48° and the bottom panels to the streamline starting at o = 115° (both are identified by an initial dot in Fig. 2). The distribution in the bottom right panel “jumps” when the particles cross the reflected shock and are re-energised. The evolution is calculated at periastron for our reference simulation.
Current usage metrics show cumulative count of Article Views (full-text article views including HTML views, PDF and ePub downloads, according to the available data) and Abstracts Views on Vision4Press platform.
Data correspond to usage on the plateform after 2015. The current usage metrics is available 48-96 hours after online publication and is updated daily on week days.
Initial download of the metrics may take a while.