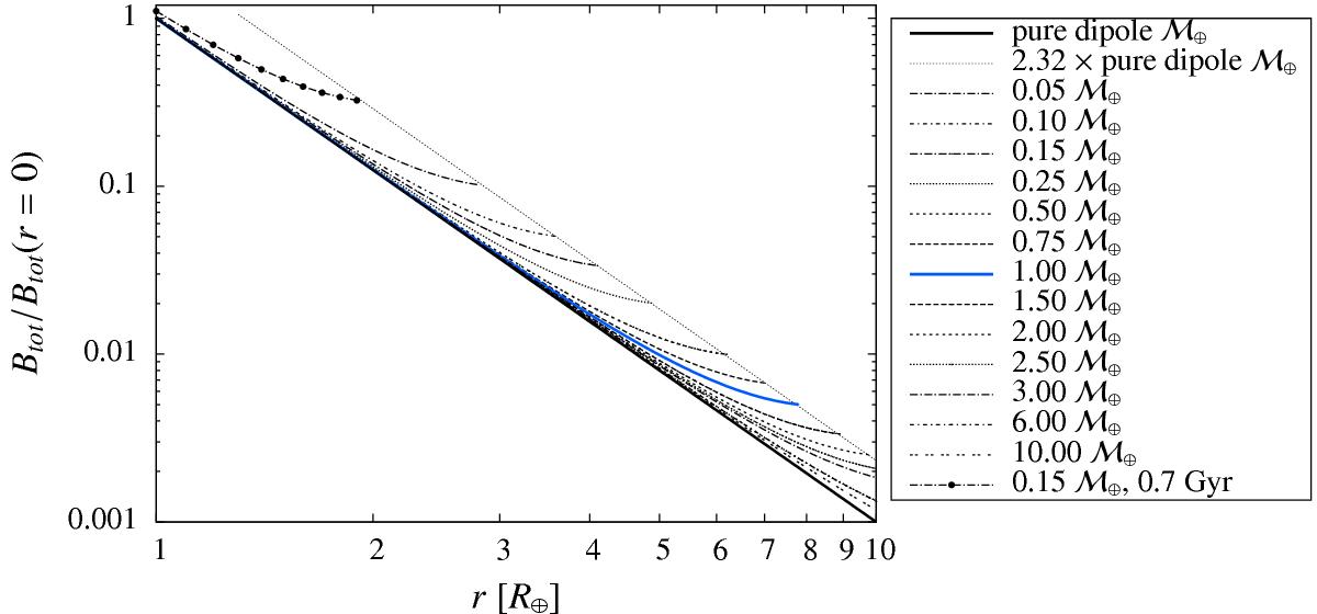
Fig. 5

Magnetic field between the planetary surface and the substellar point of the magnetopause as a function of distance from the planetary center, relative to the field at the planetary surface. Thick solid line: pure planetary dipole. Curved blue line: case of a planet with a magnetic moment identical to that of the Earth (ℳ = 1.0 ℳ⊕). Curved black lines: magnetic field for different magnetospheric configurations. Straight dotted line: 2.32 times the value for a pure planetary dipole (see text for details).
Current usage metrics show cumulative count of Article Views (full-text article views including HTML views, PDF and ePub downloads, according to the available data) and Abstracts Views on Vision4Press platform.
Data correspond to usage on the plateform after 2015. The current usage metrics is available 48-96 hours after online publication and is updated daily on week days.
Initial download of the metrics may take a while.