Free Access
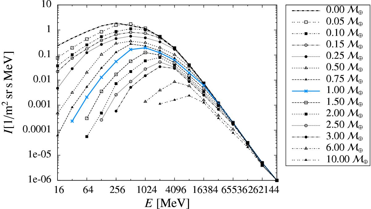
Fig. 7

Cosmic-ray flux at the top of the atmosphere I(R,ℳ) as a function of particle energy and planetary magnetic moment. Dash-dotted line: an unmagnetized planet (ℳ = 0). Blue line: a planet with a magnetic moment identical to that of the Earth (ℳ = 1.0 ℳ⊕).
Current usage metrics show cumulative count of Article Views (full-text article views including HTML views, PDF and ePub downloads, according to the available data) and Abstracts Views on Vision4Press platform.
Data correspond to usage on the plateform after 2015. The current usage metrics is available 48-96 hours after online publication and is updated daily on week days.
Initial download of the metrics may take a while.