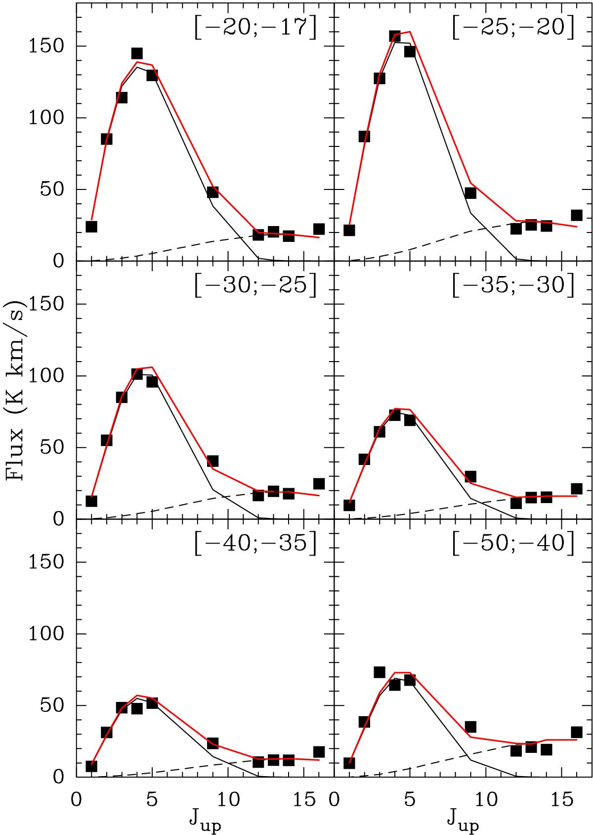
Fig. B.3

Best fitting solutions of the CO spectral line flux distribution as a function of the rotational number of the transition from our LVG analysis with the MADEX radiative transfer code. The fits to the low- and high-excitation components are shown by black solid and dashed lines, respectively. The fit to the total flux is shown in red.
Current usage metrics show cumulative count of Article Views (full-text article views including HTML views, PDF and ePub downloads, according to the available data) and Abstracts Views on Vision4Press platform.
Data correspond to usage on the plateform after 2015. The current usage metrics is available 48-96 hours after online publication and is updated daily on week days.
Initial download of the metrics may take a while.