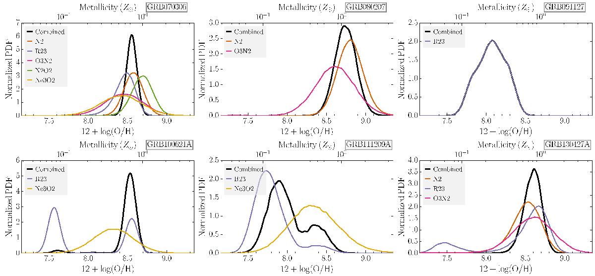
Fig. B.1

Example of metallicity measurements using different strong line diagnostics (Nagao et al. 2006; Maiolino et al. 2008). Every colored line represents the normalized probability distribution of one strong-line diagnostic. The black line is the probability distribution of 12 + log (O/H) simultaneously minimized against all available measured line ratios.
Current usage metrics show cumulative count of Article Views (full-text article views including HTML views, PDF and ePub downloads, according to the available data) and Abstracts Views on Vision4Press platform.
Data correspond to usage on the plateform after 2015. The current usage metrics is available 48-96 hours after online publication and is updated daily on week days.
Initial download of the metrics may take a while.