Free Access
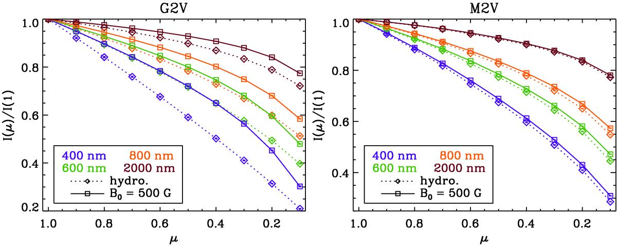
Fig. 5

Limb darkening for the G2V (left) and M2V (right) simulations without magnetic field (diamonds and dotted curves) and with B0 = 500 G (squares and solid curves) in narrow passbands near 400, 600, 800, and 2000 nm. The temporal scatter is considerably smaller than the symbol size.
This figure is made of several images, please see below:
Current usage metrics show cumulative count of Article Views (full-text article views including HTML views, PDF and ePub downloads, according to the available data) and Abstracts Views on Vision4Press platform.
Data correspond to usage on the plateform after 2015. The current usage metrics is available 48-96 hours after online publication and is updated daily on week days.
Initial download of the metrics may take a while.