Free Access
Fig. 7

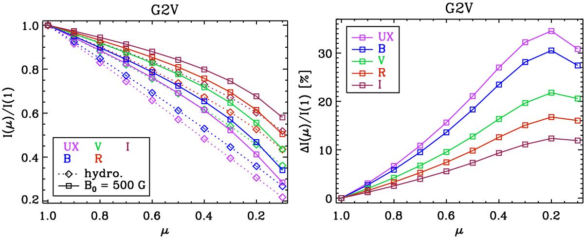
Limb darkening in the Johnson UX, B, V, R, and I passband filters (Johnson & Morgan 1951; Bessell 1990) in the G2V star. Analogous plots for the F3V and the M0V star are given in Fig. A.1. Left panel: limb darkening of the non-magnetic (hydro.) and 500 G runs. Right panel: relative difference between both runs.
This figure is made of several images, please see below:
Current usage metrics show cumulative count of Article Views (full-text article views including HTML views, PDF and ePub downloads, according to the available data) and Abstracts Views on Vision4Press platform.
Data correspond to usage on the plateform after 2015. The current usage metrics is available 48-96 hours after online publication and is updated daily on week days.
Initial download of the metrics may take a while.