Free Access
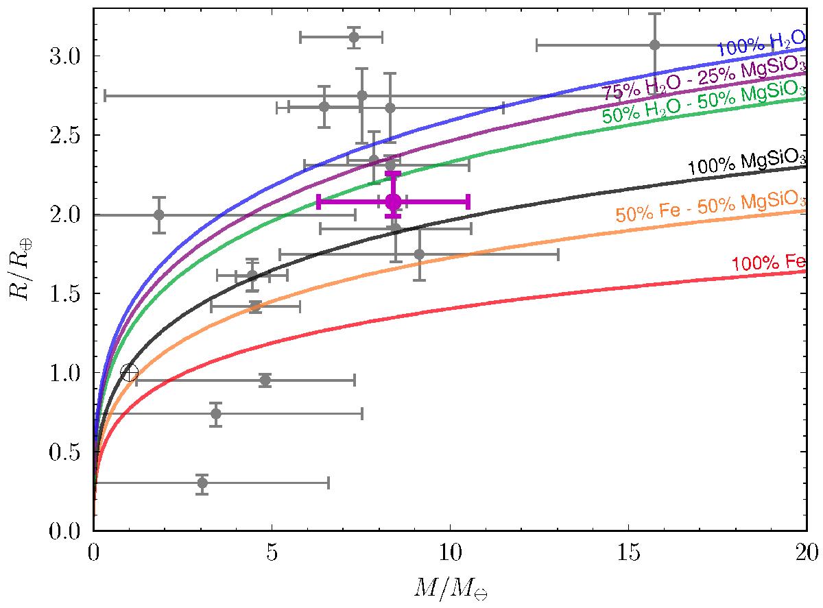
Fig. 3

Radius versus mass diagram of the known small exoplanets (Wright et al. 2011), with planet b added (magenta) with 68.3% credible intervals. The colored solid lines represents theoretical models for differents compositions (Zeng & Sasselov 2013).
Current usage metrics show cumulative count of Article Views (full-text article views including HTML views, PDF and ePub downloads, according to the available data) and Abstracts Views on Vision4Press platform.
Data correspond to usage on the plateform after 2015. The current usage metrics is available 48-96 hours after online publication and is updated daily on week days.
Initial download of the metrics may take a while.