Free Access
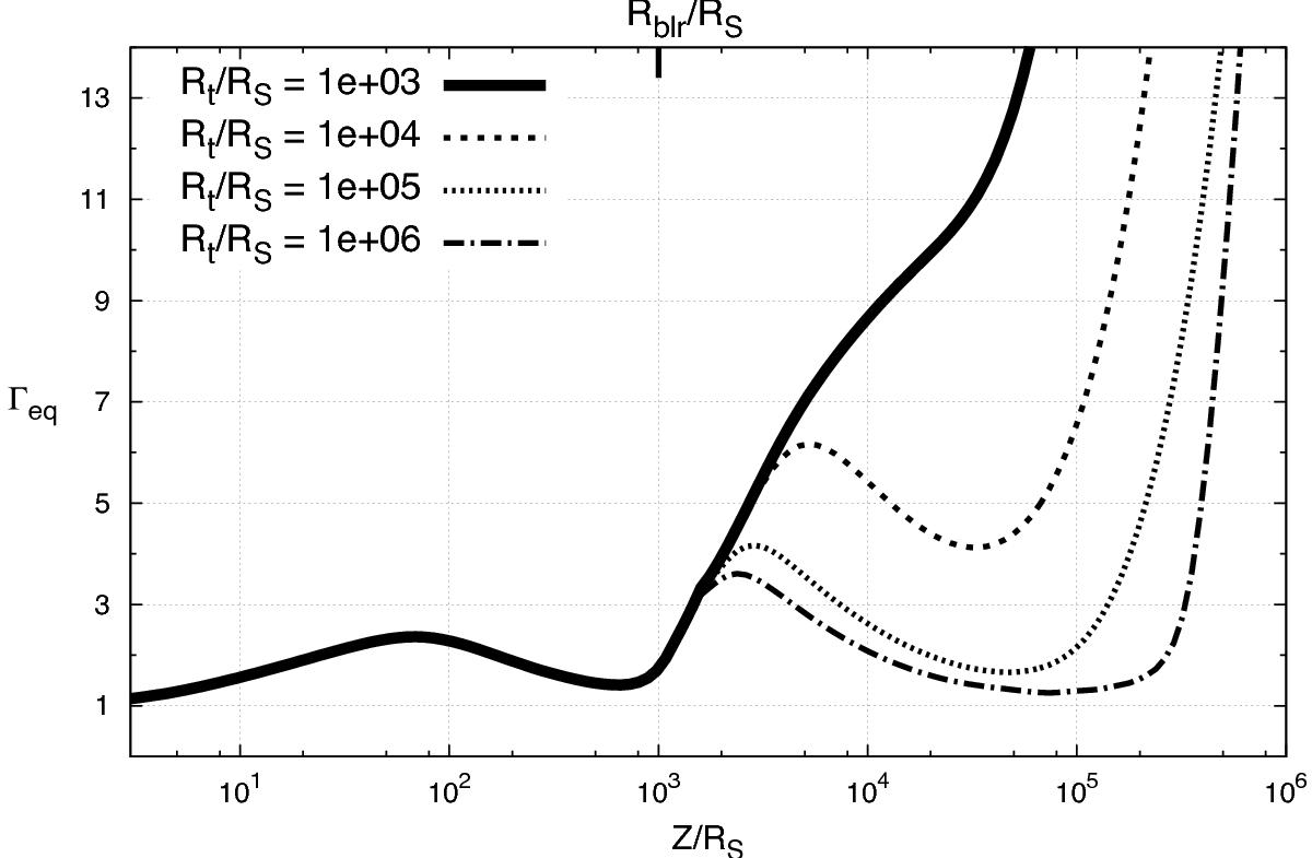
Fig. 10

Equilibrium bulk Lorentz factor for several torus sizes. Rt changes as a free parameter as Dt = rout + Rt. The values of the other parameters can be found in Table 1.
Current usage metrics show cumulative count of Article Views (full-text article views including HTML views, PDF and ePub downloads, according to the available data) and Abstracts Views on Vision4Press platform.
Data correspond to usage on the plateform after 2015. The current usage metrics is available 48-96 hours after online publication and is updated daily on week days.
Initial download of the metrics may take a while.