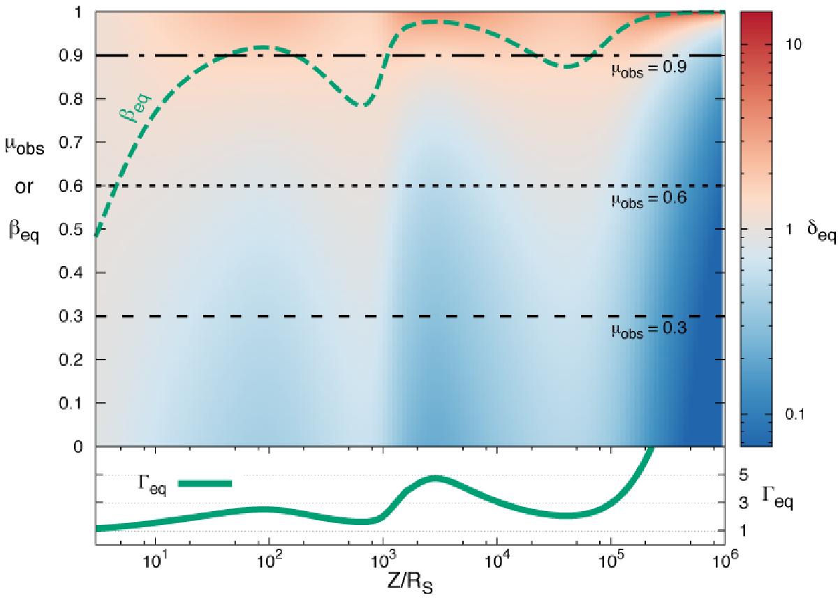
Fig. 11

Upper panel: equilibrium bulk Doppler factor δeq in the jet plane altitude Z/Rs vs. observational angle iobs (μobs = cosiobs). The color scale is shown on the right. The green dashed line represents the corresponding βeq. Bottom panel: Γeq as a function of the jet altitude. The geometry is described in Sect. 3 and the source parameters are listed in Table 1.
Current usage metrics show cumulative count of Article Views (full-text article views including HTML views, PDF and ePub downloads, according to the available data) and Abstracts Views on Vision4Press platform.
Data correspond to usage on the plateform after 2015. The current usage metrics is available 48-96 hours after online publication and is updated daily on week days.
Initial download of the metrics may take a while.