Free Access

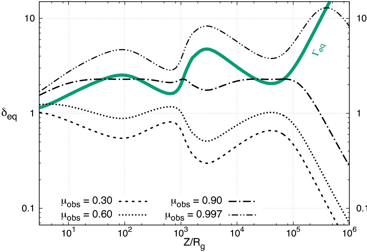
Fig. 12

image

Examples of equilibrium bulk Doppler factor as a function of the altitude for different observational angles iobs(μobs = cosiobs). The green solid line represents the corresponding Γeq. The geometry is described in Sect. 3 and the source parameters are listed in Table 1.

Current usage metrics show cumulative count of Article Views (full-text article views including HTML views, PDF and ePub downloads, according to the available data) and Abstracts Views on Vision4Press platform.

Data correspond to usage on the plateform after 2015. The current usage metrics is available 48-96 hours after online publication and is updated daily on week days.

Initial download of the metrics may take a while.