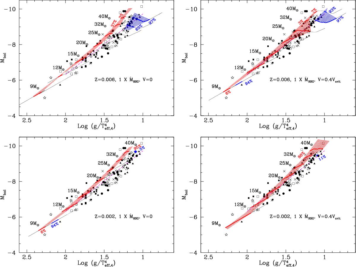
Fig. 5

Upper left panel: same as Fig. 3 for models without rotation and with standard RSG mass loss rates, but for a metallicity Z = 0.006. Upper right panel: same as left panel but for models with rotation. Lower left panel: same as Fig. 3 for models without rotation and standard RSG mass loss rates and for Z = 0.002. Lower right panel: same as lower left panel but for models with rotation.
Current usage metrics show cumulative count of Article Views (full-text article views including HTML views, PDF and ePub downloads, according to the available data) and Abstracts Views on Vision4Press platform.
Data correspond to usage on the plateform after 2015. The current usage metrics is available 48-96 hours after online publication and is updated daily on week days.
Initial download of the metrics may take a while.