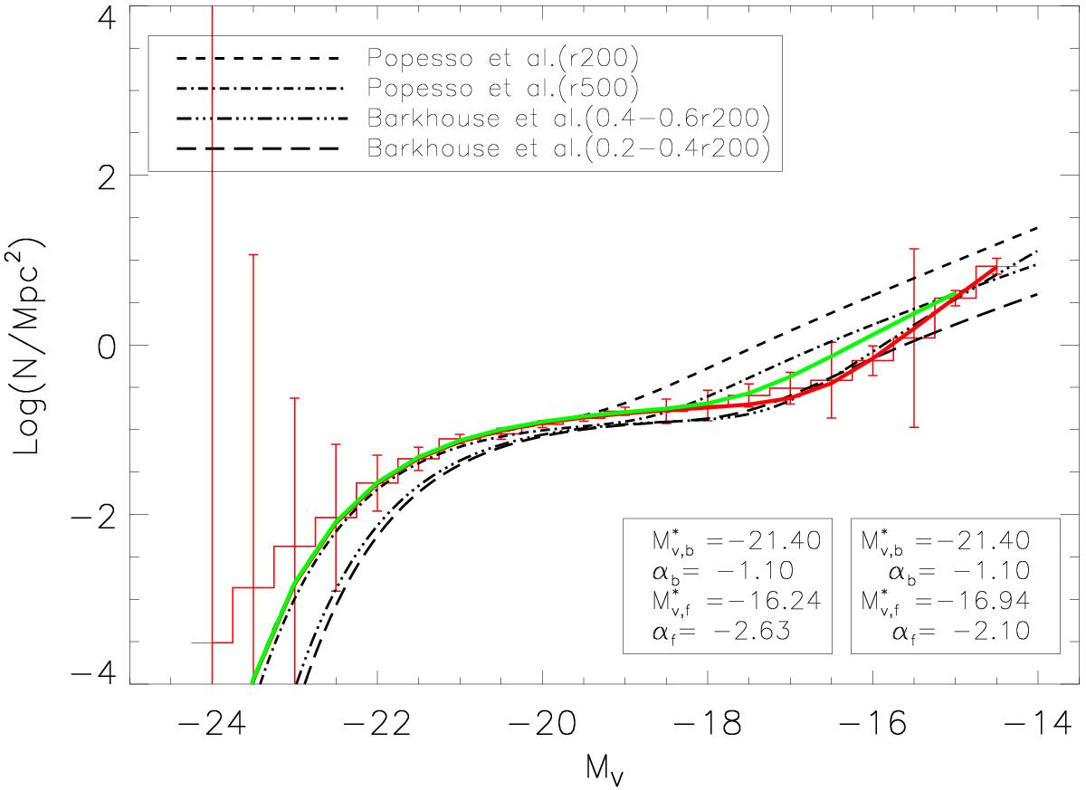
Fig. 8

Composite LF of WINGS galaxies. Superimposed are the double Schechter fits obtained having imposed the bright end slope αf = −1.10: red for the population of galaxies, green for the population of galaxies and unknown. The two insets in the lower right corner are the values of the fit. The black lines are fits taken from the literature (see the top left inset).
Current usage metrics show cumulative count of Article Views (full-text article views including HTML views, PDF and ePub downloads, according to the available data) and Abstracts Views on Vision4Press platform.
Data correspond to usage on the plateform after 2015. The current usage metrics is available 48-96 hours after online publication and is updated daily on week days.
Initial download of the metrics may take a while.