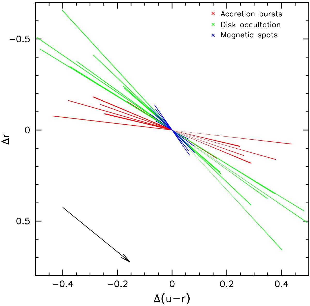
Fig. 7

Comparison of photometric amplitudes and Δr/ Δ(u − r) slopes observed for representative objects of three different types of NGC 2264 members (stochastic accretors, WTTS, and AA Tau-like stars) whose variability is driven by accretion bursts (red lines), cold magnetic spots (blue lines), or disk occultation (green lines), respectively. Luminosity increases from the bottom up along the y-axis and objects become bluer from right to left along the x-axis.
Current usage metrics show cumulative count of Article Views (full-text article views including HTML views, PDF and ePub downloads, according to the available data) and Abstracts Views on Vision4Press platform.
Data correspond to usage on the plateform after 2015. The current usage metrics is available 48-96 hours after online publication and is updated daily on week days.
Initial download of the metrics may take a while.