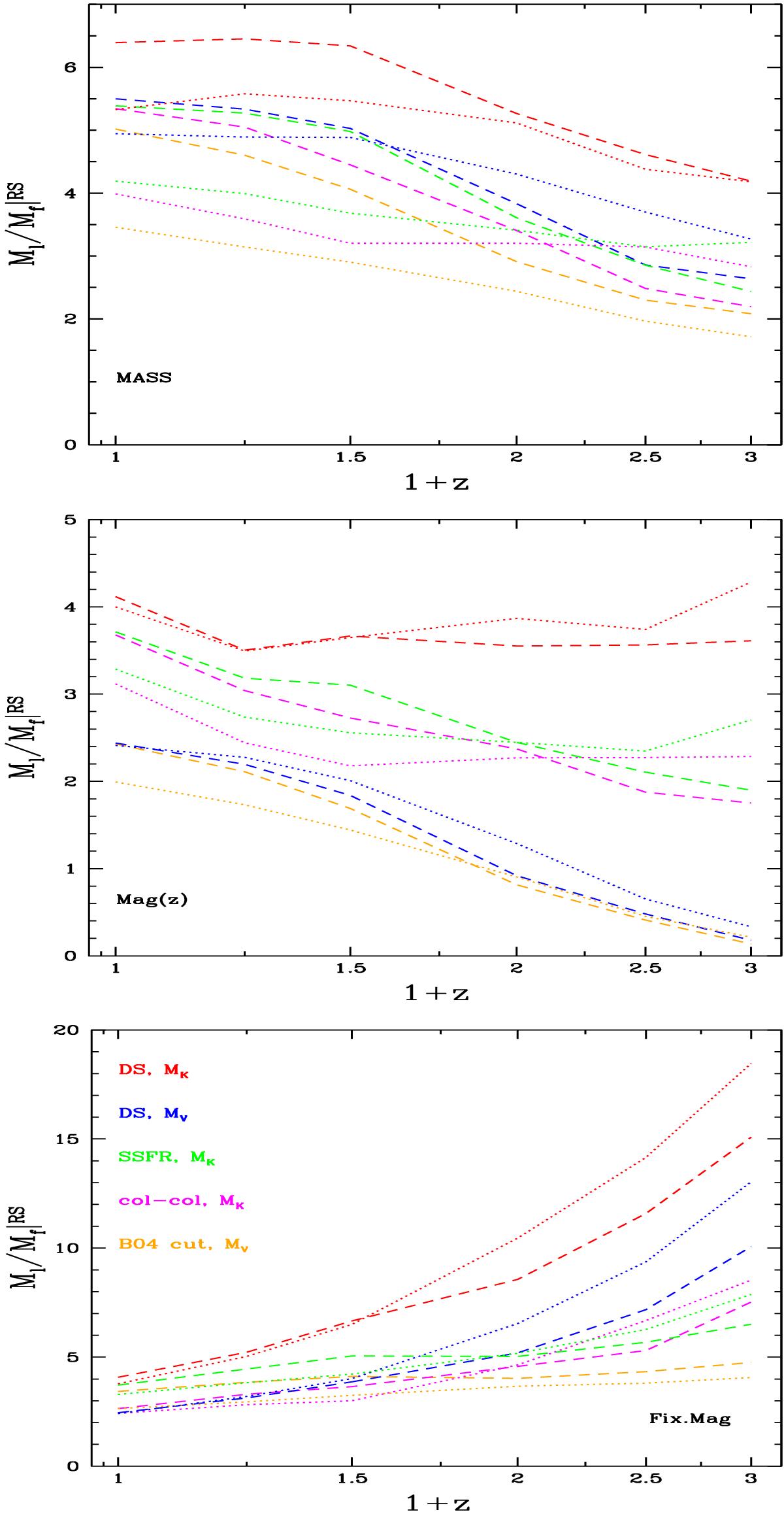
Fig. 6

Ratio of stellar masses contained in luminous-to-faint RS galaxies in the SAM for cluster cores (dashed) and averaged cluster outskirts plus groups (dotted), according to the different selection criteria listed. Upper panel: fixed mass limits at M∗ = 2 × 1010 and 4 × 109 M⊙; middle panel: redshift-variable magnitude limits (see text); bottom panel: fixed magnitude limits at MV = − 20 and − 18.2, or MK = − 23 and − 21.
Current usage metrics show cumulative count of Article Views (full-text article views including HTML views, PDF and ePub downloads, according to the available data) and Abstracts Views on Vision4Press platform.
Data correspond to usage on the plateform after 2015. The current usage metrics is available 48-96 hours after online publication and is updated daily on week days.
Initial download of the metrics may take a while.