Free Access
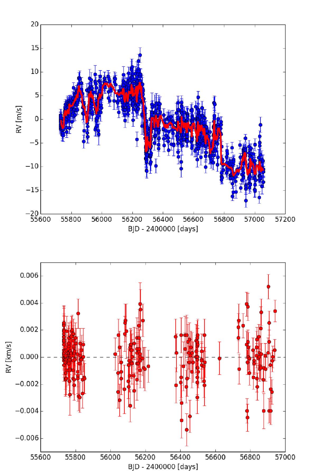
Fig. 1

Upper panel: zero-point drift correction (red line) as a function of time and the adjusted RV data set used to create it (blue dots). Bottom panel: RV time series of HD 185144 after the zero-point drift correction. This correction decreases the rms from 5.37 m s-1to 1.61 m s-1.
This figure is made of several images, please see below:
Current usage metrics show cumulative count of Article Views (full-text article views including HTML views, PDF and ePub downloads, according to the available data) and Abstracts Views on Vision4Press platform.
Data correspond to usage on the plateform after 2015. The current usage metrics is available 48-96 hours after online publication and is updated daily on week days.
Initial download of the metrics may take a while.