Free Access
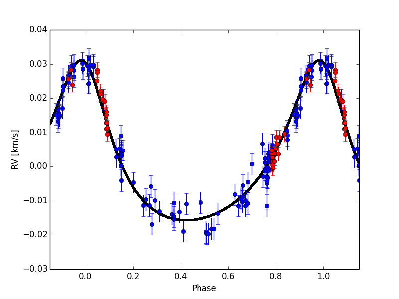
Fig. 4

Phase-folded radial velocities of HD 190360c (upper panel) and HD 190360b (bottom panel) for HIRES (blue dots) and SOPHIE (red dots) with the best-fit orbital solution (solid line). Error bars include the photon noise and jitter.
This figure is made of several images, please see below:
Current usage metrics show cumulative count of Article Views (full-text article views including HTML views, PDF and ePub downloads, according to the available data) and Abstracts Views on Vision4Press platform.
Data correspond to usage on the plateform after 2015. The current usage metrics is available 48-96 hours after online publication and is updated daily on week days.
Initial download of the metrics may take a while.