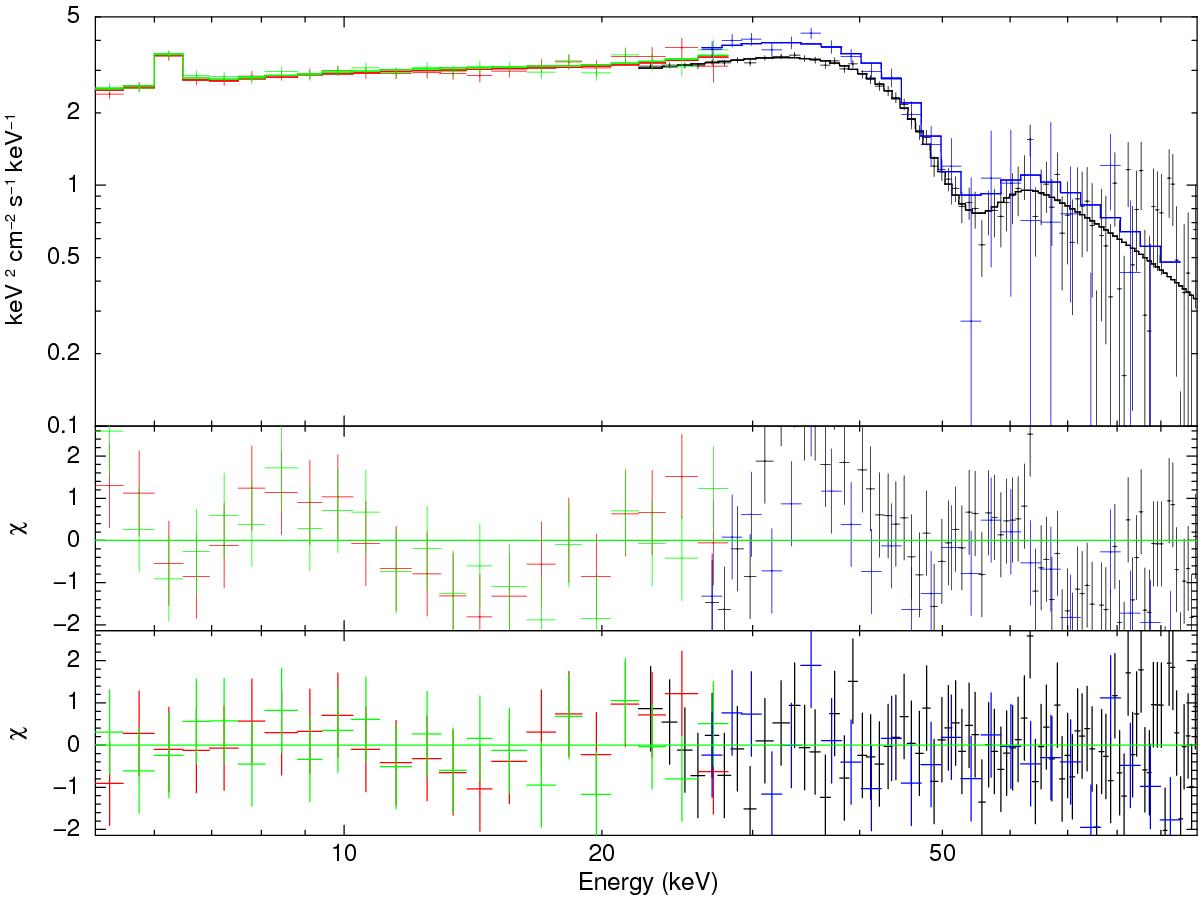
Fig. 9

Top: spectrum of the phase bin 0.0–0.2 from revolution 1132 fit with a power-law/rolloff model including the cyclotron line and an additional Gaussian component to account for a bump around 35 keV (see text). JEM-X (red and green), ISGRI (black), and SPI (blue) data are used. Middle: residuals for a fit with the model without the additional Gaussian component. Large residuals appear around the cut-off energy. Bottom: residuals after including the Gaussian emission component to model the bump.
Current usage metrics show cumulative count of Article Views (full-text article views including HTML views, PDF and ePub downloads, according to the available data) and Abstracts Views on Vision4Press platform.
Data correspond to usage on the plateform after 2015. The current usage metrics is available 48-96 hours after online publication and is updated daily on week days.
Initial download of the metrics may take a while.