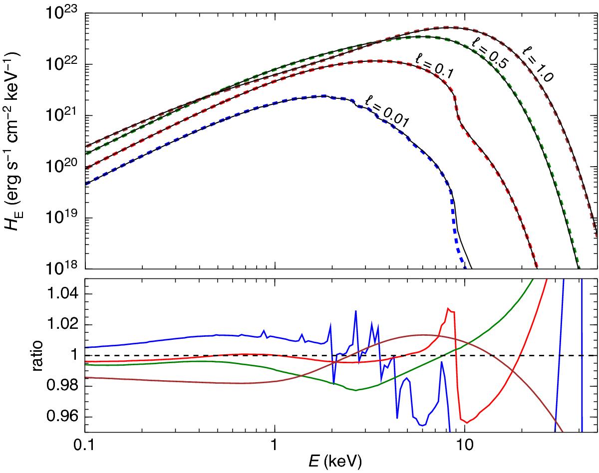
Fig. 2

Comparison of the emergent spectra for different luminosities of solar composition (SolA1) computed with the current code (dashed, colored lines) and the code presented in (Suleimanov et al. 2012; black, solid lines) for log g = 14.0. Luminosities shown are L/LEdd ≡ ℓ = 0.01 (blue), 0.1 (red), 0.5 (green) and 1.0 (brown). The lower panel shows the ratio of these spectra.
Current usage metrics show cumulative count of Article Views (full-text article views including HTML views, PDF and ePub downloads, according to the available data) and Abstracts Views on Vision4Press platform.
Data correspond to usage on the plateform after 2015. The current usage metrics is available 48-96 hours after online publication and is updated daily on week days.
Initial download of the metrics may take a while.