Free Access
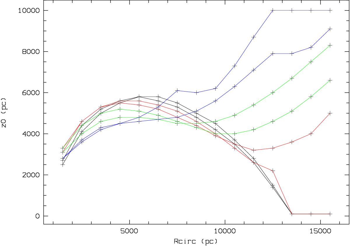
Fig. 4

BGM potential: z0 best fit versus Rc(Lz) and ΔE. Black lines ΔE = 100 and 200; red lines: 400 and 800; green lines: 1600 and 3200; blue lines: 64 000 and 128 000.
Current usage metrics show cumulative count of Article Views (full-text article views including HTML views, PDF and ePub downloads, according to the available data) and Abstracts Views on Vision4Press platform.
Data correspond to usage on the plateform after 2015. The current usage metrics is available 48-96 hours after online publication and is updated daily on week days.
Initial download of the metrics may take a while.